
22 Council of Baltimore Ravens Roost Annual Convention
Thursday June 2- Sunday June 5, 2022
Annual gathering in Ocean City, Md of ALL Ravens Roosts as we have a great time and paint Ocean City purple
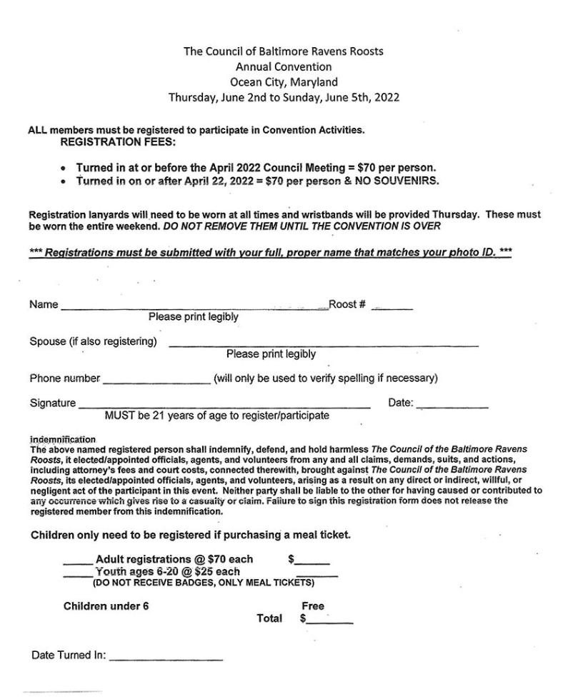
CONVENTION REGISTRATION
***PLEASE NOTE: APRIL 22 IS THE CUT-OFF DATE TO REGISTER AND RECEIVE THE SOUVENIRS WITH YOUR REGISTRATION.***
IT IS NOT TOO LATE TO REGISTER FOR THE CONVENTION AFTER THAT DATE, HOWEVER YOU WILL NOT RECEIVE THE SOUVENIRS IF YOU REGISTER AFTER APRIL 22. YOUR REGISTRATION FEE STILL INCLUDES FOOD, BEER, SODAS AND WATER AT THE CONVENTION.
______________________________________________________________________________________
Click on the Registration Form below to download a copy. Make your check payable to Ravens Roost #115 and turn in the registration form by the April Ravens Roost meeting.
Below are some videos from past Conventions. Enjoy!
Nestor from WNST.net surveys the Ocean City purple madness
Sergio Kindle tries on Billick's Super Bowl Ring in Ocean City
From the 2013 Ravens Roosts Annual Convention
Ravens Roost Convention at the Castle in the Sand
Ravens players soak up the sun in Ocean City
Ravens Maniacs invade Ocean City for Roost parade
Ravens Cheerleaders at the 2011 Ravens Roosts Annual Convention
Edwin Mulitalo returns to Ocean City for the Annual Convention
